Vanadis

by Marek
(Warsaw, Poland)

Mass Transport Equation

Mass Transport Equation

3D unsteady state Eulerian type model with convection.


There is the equation that was solved (description is in polish :)
https://www.feazone.org/readarticle.php?article_id=11

This model was developed using Finite Element Method (Galerkin scheme with up-winding technique, Fortran source code).

In the sample results I have attached, there are two sources of pollution, a high building on a way of smoke. Wind has changed after second chimney was turned on. Results are presented on two normal surfaces.

Sample results:
https://pl.wikipedia.org/wiki/Modelowanie_dyspersji_odorant%C3%B3w
(at the bottom of the page)

Barry's Response - A computer model shows how pollution spreads in the air. The Finite Element Method was used to model pollution from two moving sources, like chimneys.

Pollution spreads over time. Equations with variables like coordinates (x, y, z), time (t), and pollution concentration (S) are used. This calculation is used in engineering calculations to address pollution at different times. This model was custom-made for this study.

The description, when translated into English, reads:

Model spread of pollutants in the atmosphere


Models of the first order of Euler belong to this group. Using the finite element method, solve the mass transport equation in 3D unsteady convection.

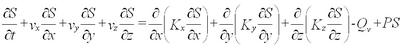
See the image above for the relevant mass transport equation. Variables in the equation represent:

x,y,z - Coordinates
t - Time
S - Concentration
Qv - Volumetric emissions
P - Pollution Decay Rate
Kx,Ky,Kz - turbulent diffusion coefficients in x, y, z
vx,vy,vz - wind velocity components

After that, the results are shown in a plane parallel to the earth, a graph for each time step, and a plane perpendicular to the surface. There's an instruction on how to see pollution concentrations with chimneys "behind the backs." Each time step has two graphics.

Time steps range from 100 seconds to 1800 seconds (15 minutes). See the model output graphically with comments by clicking the first link above. These graphics are animated on the Wikipedia page in the second link. Here are the comments included with the first link's stills:

100 seconds - Times are given after "0", when the chimney releases. There's already something on the earth's surface after 100 seconds. In the cross-sectional view of the modeled stream, pollution isn't apparent.

300 seconds - A tall building in the plume's way doesn't have to be fumigated.

1200 seconds - The wind direction changes when a second chimney is added (contaminant source).

1800 seconds - After this time the solution becomes static, assuming equilibrium (dS/dt = 0).

The title of this document reads:

Engineering calculations -

DESIGN, STRENGTH , VIBRATION , BORDER CAPACITY


I think these model results are pretty good for a plume dispersion simulation. The model used isn't well-known, since it was custom designed for this study, and the code isn't provided. Since the work went into it, it makes sense.

There's also a list of links to Polish forum entries near the top of the page.

Comments for Vanadis

Average Rating starstarstarstarstar

Click here to add your own comments

Rating
starstarstarstarstar
model Webpage
by: Marek

A short model summary is available at this link:

http://marek-ac.meri.pl/

From Barry - Thanks Marek. Here I have made a quick summary to introduce readers to the page.

Vanadis 3D Air Dispersion Model: Why?
With the Vanadis 3D model, we can see how wind, buildings, and pollution sources affect air quality over time. Show city planners, scientists, and decision-makers how pollution behaves in a virtual wind tunnel.

How does it work?
By stacking tiny cubes together, it calculates how pollution moves through the air. It also tracks how pollution is carried by the wind (convection) and spreads out slowly (diffusion). It can show changes over time (dynamic simulation) or long-term average conditions (steady state), and it can incorporate realistic obstacles like tall buildings.

At the start of the simulation, imagine two chimneys releasing pollution. About 15 minutes later, the second chimney turns on. In the model, pollution moves, spreads, and interacts with buildings.

What makes it special?
You can change things like how much pollution is released, how strong the wind is, how fast pollution spreads, and how fast it breaks down. Compared to older, simpler models (like the classic Pasquill model), Vanadis 3D gives you a much more detailed picture.

Hope that helps

Rating
starstarstarstarstar
Vanadis user instruction - english version
by: Marek

Hi,
I have uploaded short Vanadis demo manual in english in file vanadis_eng.txt.
Regards,
Marek

From Barry - We really appreciate your support, and we know it will help a lot of people understand Vanadis. Thanks for this.

Rating
starstarstarstarstar
Vanadis model history
by: Marek

Hi guys,
Model was designed in 1998 for my PhD.
Marek

From Barry - It would be used to predict air pollution spread. Around the world, governments and industries may adopt and/or revise a model such as this. Who knows?

Click here to add your own comments

Join in and write your own page! It's easy to do. How? Simply click here to return to Hi-Tech Idea.



Do you have concerns about air pollution in your area??

Perhaps modelling air pollution will provide the answers to your question.

That is what I do on a full-time basis.  Find out if it is necessary for your project.



Have your Say...

on the StuffintheAir         facebook page


Other topics listed in these guides:

The Stuff-in-the-Air Site Map

And, 

See the newsletter chronicle. 


Thank you to my research and writing assistants, ChatGPT and WordTune, as well as Wombo and others for the images.

OpenAI's large-scale language generation model (and others provided by Google and Meta), helped generate this text.  As soon as draft language is generated, the author reviews, edits, and revises it to their own liking and is responsible for the content.